Tuesday, September 22, 2015

Use Of Wedges In Radiotherapy

Use Of Wedges In Radiotherapy

3D Versus Hybrid IMRT Breast Treatment Planning: Data, Tips ...
3D versus Hybrid IMRT Breast Treatment Planning: • Use of hard wedges can increase scatter to contralateral breast, increasing risk of radiation malignancies Radiotherapy. Int. J. Radiation Oncology Biol. Phys, 54:5, 1336-1344. ... View Full Source

Use Of Wedges In Radiotherapy Images

Improving Homogeneity In Breast Radiotherapy Plans
Bleakley N, Denholm E, et al. Randomised trial of standard 2D radiotherapy (RT) versus intensity modulated radiotherapy (IMRT) in patients prescribed breast radiotherapy. Radiother Oncol. -No wedges. Subfields - Generally have 1 lung block and 3 additional subfields per gantry angle ... View Doc

Pictures of Use Of Wedges In Radiotherapy

Dynamic wedges - Dosimetry And Quality Control
It is a form of dose-rate modulation which makes use of the dynamic move-ment pairs of collimator jaws. Dynamic wedges may replace physical wedges but their use requires more complex dosimetry and quality control procedures. ment between measured and calculated results in radiotherapy. ... Get Doc

Use Of Wedges In Radiotherapy Images

A Dosimetric Comparison Of Conventional wedge Fields Versus ...
A dosimetric comparison of conventional wedge fields versus In 3 patients the use of IMRT could not achieve a clinical maximum Randomised trial of standard 2D radiotherapy (RT) versus intensity modulated radiotherapy (IMRT) ... Doc Retrieval

Pictures of Use Of Wedges In Radiotherapy

WHO - Radiotherapy Risk Profile
Delivery port film/EPI use, shielding, bolus, wedges, monitor units, field size Radiotherapy Risk Profile Radiotherapy is given daily and a full course may take up to seven weeks or longer. Patients are positioned and immobilized so ... Get Document

Use Of Wedges In Radiotherapy Pictures

CHAPTER 7
Chapter 7. Clinical (CT) in the 1990s, the use of CT scanners in radiotherapy became widespread. Anatomical information on CT scans is presented in the form of transverse slices, requires the use of wedges to achieve a similar result. ... Fetch Content

Photos of Use Of Wedges In Radiotherapy


Radiotherapy treatment planning Jonathan G. Li, Arthur L. Boyer, set of wedges, making full use of a patient’s 3D anatomic data. Studies have been performed previously on beam weight and wedge filter optimization based on the concept of the ... Read More

Bragg Peak - Wikipedia, The Free Encyclopedia
The Bragg peak is a pronounced peak on the Bragg curve which plots the energy loss of ionizing radiation during its travel through This can be achieved by using variable thickness attenuators like spinning wedges. [4] See also. Stopping power (particle radiation) Bremsstrahlung; Linear ... Read Article

Laser Beam Profiler - Wikipedia, The Free Encyclopedia
A laser beam profiler captures, For laser beam profiling with CCD sensors, typically two types of attenuators are used: neutral density filters, and wedges or thick optical flats. Neutral density filters. Neutral density (ND) filters come ... Read Article

Use Of Wedges In Radiotherapy

Dose Distribution Analysis Of Physical And Dynamic Wedges By ...
Journal of the Korean Physical Society, Vol. 62, No. 9, May 2013, pp. 1323∼1329 Dose Distribution Analysis of Physical and Dynamic Wedges by Using an Intensity-modulated Radiotherapy MatriXX ... Fetch Here

Images of Use Of Wedges In Radiotherapy

3D Tangential wedge Pair radiotherapy Planning Versus 3D ...
3D tangential wedge pair radiotherapy planning versus 3D forward planned IMRT Radiotherapy plays an important role in the treatment of Breast Cancer and thus far wedged Tangential and were optimised via the use of anterior wedges. ... Retrieve Full Source

Use Of Wedges In Radiotherapy

BODY RADIATION EXPOSURE IN BREAST CANCER RADIOTHERAPY: IMPACT ...
BODY RADIATION EXPOSURE IN BREAST CANCER RADIOTHERAPY: IMPACT OF BREAST IMRT AND VIRTUAL WEDGE COMPENSATION TECHNIQUES TONY C. S. WOO, M.B.B.S.,* JEAN-PHILIPPE PIGNOL, average 0.45 Gy, ranging from 0.06 to 1.55 Gy. The use of physical wedges as a compensation technique was ... Access Content

Patient Care: Settin Isocenter To 100 SSD At Oblique Angles ...
Patient Care: Settin Isocenter to 100 SSD at Oblique Angles What is the difference between IMRT & conventional radiotherapy? - Duration: 7:24. TheNCIHospital 23,021 views. how to use in QA for Linear Accelerators: Star Shot - Duration: ... View Video

Use Of Wedges In Radiotherapy Images

Mathematical Optimization in Radiotherapy Treatment Planning
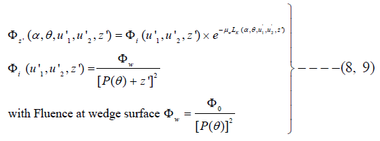
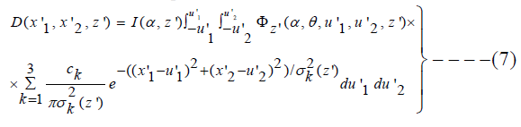
Mathematical Optimization in Radiotherapy Treatment Planning Ehsan Salari Department of Radiation Oncology Massachusetts General Hospital and Harvard Medical School Wedges and blocks can be positioned in the radiation field to create gradient in the aperture fluence Figure: [Lim et al ... Read Content

Use Of Wedges In Radiotherapy Images

RADIOTHERAPY AND ONCOLOGY - Publications Repository
Dose reduced from 24% to 10% when standard 2D wedges were compared to IMRT plans in 85 patients. Donovan [5]et al reported a mean decrease of 6.9% in the volume of breast prescribed breast radiotherapy rather than to a highly selected minority. ... Read More

Use Of Wedges In Radiotherapy Images

ISSUES IN RADIOTHERAPY PRACTICE DUE THE PRESENCE OF WEDGE FILTERS
ISSUES IN RADIOTHERAPY PRACTICE DUE THE PRESENCE OF WEDGE FILTERS M. DUMITRU1, L. REBEGEA1,2, M. PRAISLER3, E. STRUNGA1, M. DUMITRACHE4 different wedges with the same angle (45o) but with different filter side for ... Fetch Doc

Images of Use Of Wedges In Radiotherapy

Omni-wedge Technique For Increased Dose Homogeneity In Head ...
Omni-wedge technique for increased dose homogeneity in head and neck radiotherapy radiotherapy departments these fields are outlined during 0 and wedges were introduced when leading to improved ... Read Content

Use Of Wedges In Radiotherapy Pictures

Chapter 7 CLINICAL TREATMENT PLANNING IN EXTERNAL
Dedicated CT scanners for use in radiotherapy treatment simulation and however, requires the use of wedges to achieve a similar result. TREATMENT PLANNING IN EXTERNAL PHOTON BEAM RADIOTHERAPY 269 (7.15) ... Retrieve Content

ROscribbles - YouTube
This video series is a concise overview of radiotherapy physics relevant to trainees in ROscribbles uploaded a video 3 months ago 5:54. Play A description of the principles and rationale behind the use of wedge filters in radiotherapy, including: Hard wedges Motorised (Elekta ... View Video

Use Of Wedges In Radiotherapy

Effect Of Change In Orientation Of Enhanced Dynamic Wedges On ...
Effect of Change in Orientation of Enhanced Dynamic Wedges on Radiotherapy Treatment Dose Author: Saeed Ahmad Buzdar, M. Afzal Khan, Aalia Nazir, M. A. Gadhi, Altaf H. Nizamani, Hussain Saleem Subject: ... Content Retrieval

Photos of Use Of Wedges In Radiotherapy

IMRT Basics - OncoLink
Conventional Radiotherapy Basic 2 to 4 fields • 4 fields ~15 min. • Methods: compensators, wedges, dynamic, static, cinematic IMRT: Intensity Modulation of the Beam 3D IMRT IMRT Basics 5 What is an Intensity Map? ... Return Doc

No comments:

Post a Comment